HDPE ve PE Borular Özellikleri ve Avantajları. HDPE ve PE Boruların Fiyatları
Teknik Bilgiler / Basınç Darbesi
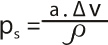
Vana veya pompanın açılıp kapanması sırasında, hatta koç darbesi oluşabilir. Bunun için teorik olarak büyük ps:

- a : Baskı dalgasının yayılma hızı (m/s)
- v : Akışkanın akma hızı (m/s)
- p : Akışkanın yoğunluğu (kg/m3)
Baskı dalgası yayılma hızı aşağıdaki formülle hesaplanır:

- a : Baskı dalgasının yayılma hızı (m/s)
- v : Akışkanın akma hızı (m/s)
- p : Akışkanın yoğunluğu (kg/m3)
- Em : Akışkanın elastisite modülü (Esu)
- p : Akışkanın yoğunluğu (p=1000 kg/m3)
- Er : Malzemenin (borunun) elastisite modülü (N/m2)
- Dm : Boru orta çapı (m)
- e : Boru et kalınlığı (m)
Bu formülde kısa süreli elastisite modülü kullanılmalıdır. (Er= 800..1200N/mm2).
Kısa süreli basınç değişiklikleri ve koç darbesi etkisi HDPE borularda hasar oluşumuna neden olmaz. Aşağıdaki örnek tabloda çeşitli emniyet faktörleri için 20°C ısıda kısa süreli koç darbesi ile oluşacak yeni basınç değerinin, nominal basınca oranla ne kadar artabileceğini ifade eder. Bu değerler içerisinde oluşacak basınç artışları boruya zarar vermez.
| Toplam Çalışma Katsayısı C (Emniyet Faktörü) | Kısa Süreli Koç Darbesi Etkisi ile Basınç Artışının Nominal Basınca Oranı |
|---|---|
| 1,25 | % 50 |
| 1,6 | % 100 |