Fırat FCS Boru ve Ek Parçaları
Teknik Bilgiler / Esneklik
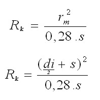
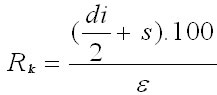
PE borular için bükme yarı çapı:

- Rk : Kritik Bükme yarı çapı ( mm )
- rm : Ortalama iç yarıçap ( mm )

ε: Dış yüzey gerilme oranı ( % )
FCS borular için değeri ε % 1.0 olarak alınmaktadır.
FCS borular için değeri ε % 1.0 olarak alınmaktadır.

FCS borular için önerilen minimum dönüş yarıçapı;

