Teknik Bilgiler / Hidrolik Hesaplamalar

BORU KESİTİNİN TESPİTİ

Sıvı geçiş yolunda geçiş debisi sabit ise, süreklilik dengesi sağlanır.

Q : Taşıma miktarı ( m3/h )
a : Boru kesiti ( mm2 )
v : Akış hızı ( m/s )

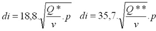
Gerekli boru kesitinin hesaplanmasında, pratik kullanışlı formül aşağıda belirtildiği gibidir:

di : Boru iç çapı ( mm )
Q* : Taşıma miktarı ( m3/h )
Q** : Taşıma miktarı ( l/h)

BASINÇ KAYIPLARI

Aşağıda belirtilmiş olan değerler hidrolik basınç kayıplarını büyük oranda etkiler:

  • Boru hattının uzunluğu
  • Düz hattın boru çapı
  • Borunun pürüzsüzlüğü
  • Boru bağlantıları (fitings ve armatürler)
  • Akışkan yoğunluğu
  • Akış şekli (düzgün veya düzensiz akış)

Toplam basınç kayıpları aşağıda belirtildiği gibi ayrı ayrı basınç kayıplarının toplamından oluşur:

Ayrı ayrı basınç kayıplarının hesaplanması

* Düz boru hattı içerisinde ki basınç kaybı DpR

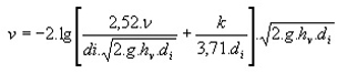
HDPE Borularda geçiş miktarı, akış hızı ve basınç düşmesi sonucu ortaya çıkan Yüksek enerji kaybı (hv) için ve ya basınç kaybı (Dp) hesabı için aşağıdaki formüller kullanılır.

di : Boru iç çapı ( mm )
I : Boru hattının uzunluğu ( mm )
v : Ortalama sıvı akış hızı ( m/s )
p : akışkan yoğunluğu (kg/m³)
l : Sürtünme katsayısı (0,02 yeterli)
g : Yer çekimi ( 9,81 m/s² )

Yüksek enerji kaybı; hatta istenen akış hızının elde edilmesi için eğimde yapılan yükseklik farklarını ifade eder. Sürtünme katsayısı l aşağıdaki genel formüllerin kapsamındadır:

Re : Reynold sayısı ( v.d/v )
o : Suyun kinetmik akıcılığı ( 1.31.16-6 m²/s )
k : Boru iç yüzeyinin hidrolik pürüzsüzlük değeri (m)

Yukarıdaki formül dönüştürüldüğünde:

İki tip pürüzsüzlük değeri vardır; cidar pürüzsüzlüğü k ve çalışma pürüzsüzlüğü (sitem pürüzsüzlüğü) kb. Aşağıdaki tabloda çeşitli boru tipleri için pürüzsüzlük k değerleri belirtilmiştir.

Hattın Çeşidi Pürüzsüzlük k (mm)
Çelik, yeni 0,01 .... 0,1
Duktil boru, yeni 0,0001 .... 1
Duktil boru, eski 0,03 .... 0,2
HDPE - FCS 0,007 .... 0,015
Beton boru, yeni 1,0 .... 2,0
Seramik boru 0,1 .... 1,0
Eski boru 2,0

kb Çalışma pürüzsüzlüğünü belirleyen değerler:

  • Cidar pürüzsüzlüğü
  • Boru hattının düzlüğü
  • Koç darbesi
  • Ek giriş hatları
  • Menholler
  • Giriş ve çıkış depoları

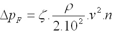
Ek parçalarda basınç kayıpları (Fitings) DpF

ζ : Ek parça direnç değeri
p : Akışkan yoğunluğu ( kg/m³ )
v : Akış hızı ( m/s )
n : Ek parça sayısı

Armatürlerde basınç kayıpları DpA

ζ : Ek parça direnç değeri
p : Akışkan yoğunluğu ( kg/m³ )
v : Akış hızı ( m/s )
n : Ek parça sayısı

Armatürlerin direnç değeri ζ 0,5 ve 5,0 arasındadır. Bu değerin ne kadar olduğu armatür üreticisi tarafından bilinir.

Boru bağlantılarında basınç kayıpları Dpv

Pozitif ζ Değeri : Basınç azalması
Negatif ζ Değeri : Basınç artması
va : Giriş debisi
vd : Çıkış debisi
vs : Toplam giriş debisi
vx : Ek giriş debisi

BASINÇ DARBESİ (KOÇ DARBESİ)

Vana veya pompanın açılıp kapanması sırasında hatta koç darbesi oluşabilir. Bunun için teorik olarak büyük ps:

a: Baskı dalgasının yayılma hızı ( m/s )
v0: Akışkanın akma hızı ( m/s )
p: Akışkanın yoğunluğu ( kg/m³ )